• Предмет: Алгебра
  • Автор: лекана
  • Вопрос задан 8 лет назад

СРОЧНО!!!!
ДАЮ 80Б
ЗАДАНИЕ ПОД В
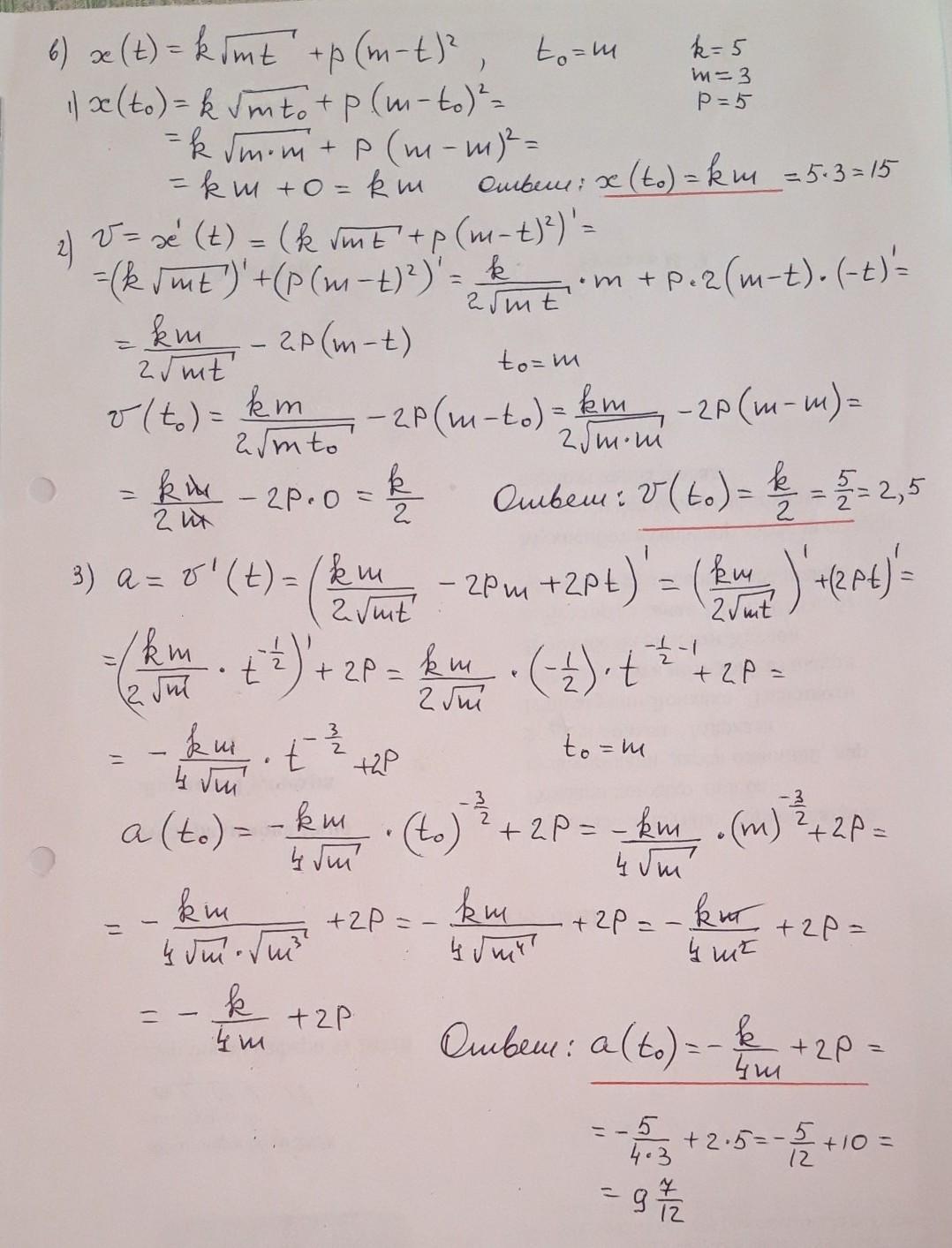
K=5
M=3
P=5

Приложения:

Ответы

Ответ дал: sharofat0
0

Ответ:

Найти координату, скорость и ускорение

матер. точки в момент вр.t(0)=m.

Приложения:
Вас заинтересует