Ответы
Ответ дал:
0
Пусть . Возводим обе части равенства в квадрат, получим
. Получим:
- не удовлетворяет неравенству
Ответ дал:
0
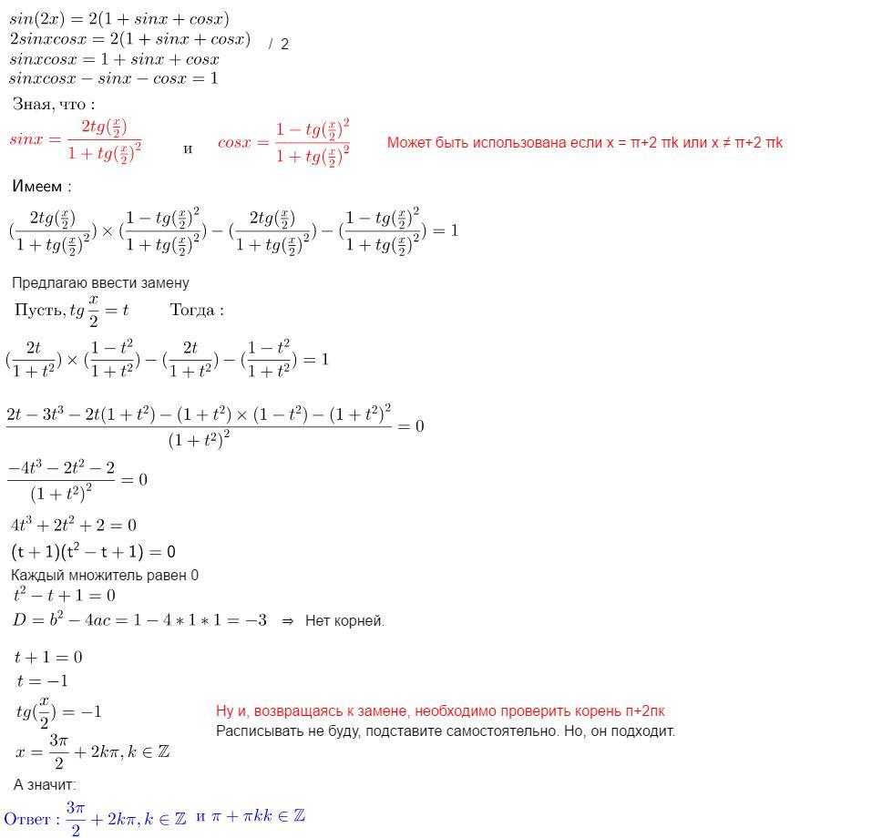
Смотри в приложении:
Приложения:

Ответ дал:
0
Решил парочку этим способом). Но, запомнить не запомнил всё. Только если теория о нем передо мной могу)
Ответ дал:
0
ну да. Там особо не запомнить)
Вас заинтересует
2 года назад
2 года назад
3 года назад
8 лет назад
8 лет назад
9 лет назад