• Предмет: Алгебра
  • Автор: Peeeeace
  • Вопрос задан 8 лет назад

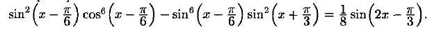
Решите уравнение! пожалуйста

Приложения:

Ответы

Ответ дал: ChiStS
0

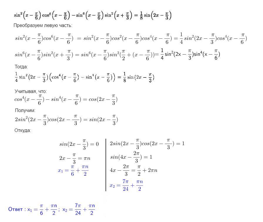
Смотри в приложении:

Приложения:
Вас заинтересует