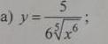
Помогите пожалуйста решить производную первого порядка!

Приложения:

Ответы

Ответ дал: IrkaShevko
0

Ответ:

Пошаговое объяснение:

y = dfrac{5}{6} x^{-frac{6}{5} }\\y'=dfrac{5}{6}*(-dfrac{6}{5})x^{-frac{6}{5}-1}=-x^{-frac{11}{5}}=-dfrac{1}{sqrt[5]{x^{11}} }

Вас заинтересует