• Предмет: Алгебра
  • Автор: Nobb238
  • Вопрос задан 8 лет назад

Плиз сделать как можно быстрее очень надо ​

Приложения:

Ответы

Ответ дал: PiLiGRiM007
0

как - то так ..........................

Приложения:
Ответ дал: oksik1970
0

Ответ:

▪︎1

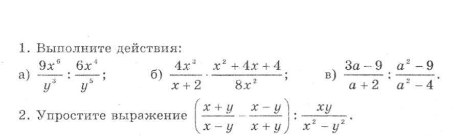
a)

1.5 {x}^{2}  {y}^{2}  :

б)

frac{x(x + 2)}{2}  :

в)

frac{3a - 6}{a + 3}  :

▪︎2.

4

Объяснение:

▪︎1.

a)

 frac{9 {x}^{6} }{ {y}^{3} }  div  frac{6 {x}^{4} }{ {y}^{5} }  =  frac{9 {x}^{6}  times  {y}^{5} }{ {y}^{3} times 6 {x}^{4}  }  =  frac{3 {x}^{2} {y}^{2}  }{2}  = 1.5 {x}^{2}  {y}^{2}  \

б)

 frac{4 {x}^{3} }{x + 2}  times  frac{ {x}^{2}  + 4x + 4}{8 {x}^{2} }  =  frac{x(x + 2) ^{2} }{(x + 2) times 2}  =  frac{x(x + 2)}{2}  \

в)

 frac{3a - 9}{a + 2}  div  frac{ {a}^{2}  - 9}{ {a}^{2}  - 4}  =  frac{3(a - 3)}{a + 2}   times  frac{ {a}^{2}  - 4}{ {a}^{2}  - 9}  = frac{3(a - 3)}{a + 2}   times  frac{(a - 2)(a + 2)}{(a - 3)(a + 3)}  =  frac{3(a - 2)}{a + 3}  =  frac{3a - 6}{a + 3}

▪︎2.

( frac{x + y}{x - y}  -  frac{x - y}{x + y} ) div  frac{xy}{ {x}^{2} -  {y}^{2}  }  =  frac{(x + y)(x - y)(x + y)}{(x - y)xy}  -  frac{(x - y)(x - y)(x + y)}{(x + y)xy}  =   frac{{(x + y)}^{2} }{xy}  -  frac{ {(x - y)}^{2} }{xy}  =  frac{(x + y - x  +  y))(x + y + x - y)}{xy}  =  frac{2y times 2x}{xy}  =  4

Приложения:
Ответ дал: Nobb238
0
только помоему не влезло
Ответ дал: oksik1970
0
что не влезло
Ответ дал: Nobb238
0
нечего все норм показалось
Вас заинтересует