• Предмет: Математика
  • Автор: Kot4n
  • Вопрос задан 8 лет назад

Решите на множестве R уравнение
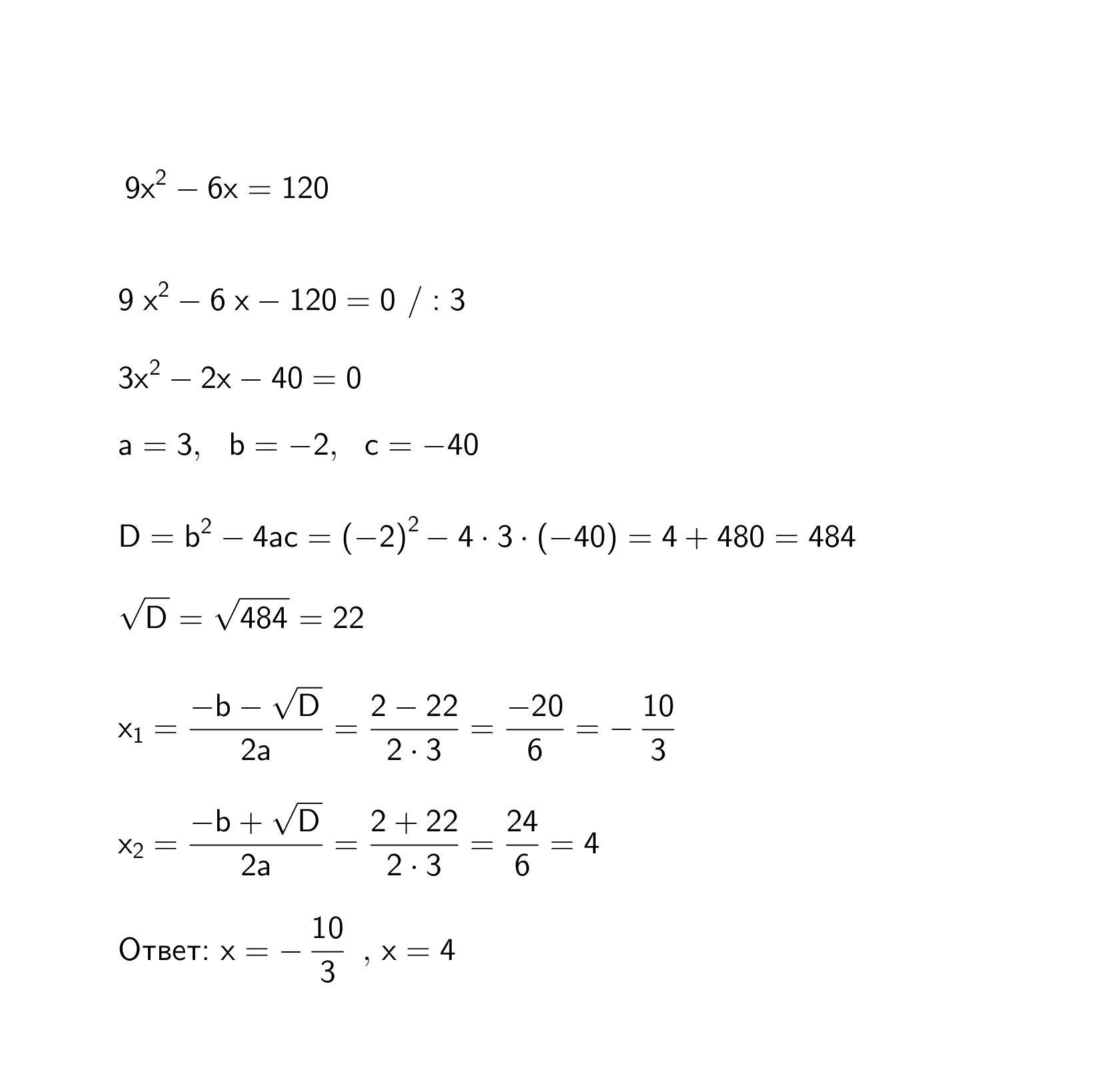
в)9x² -6x = 120
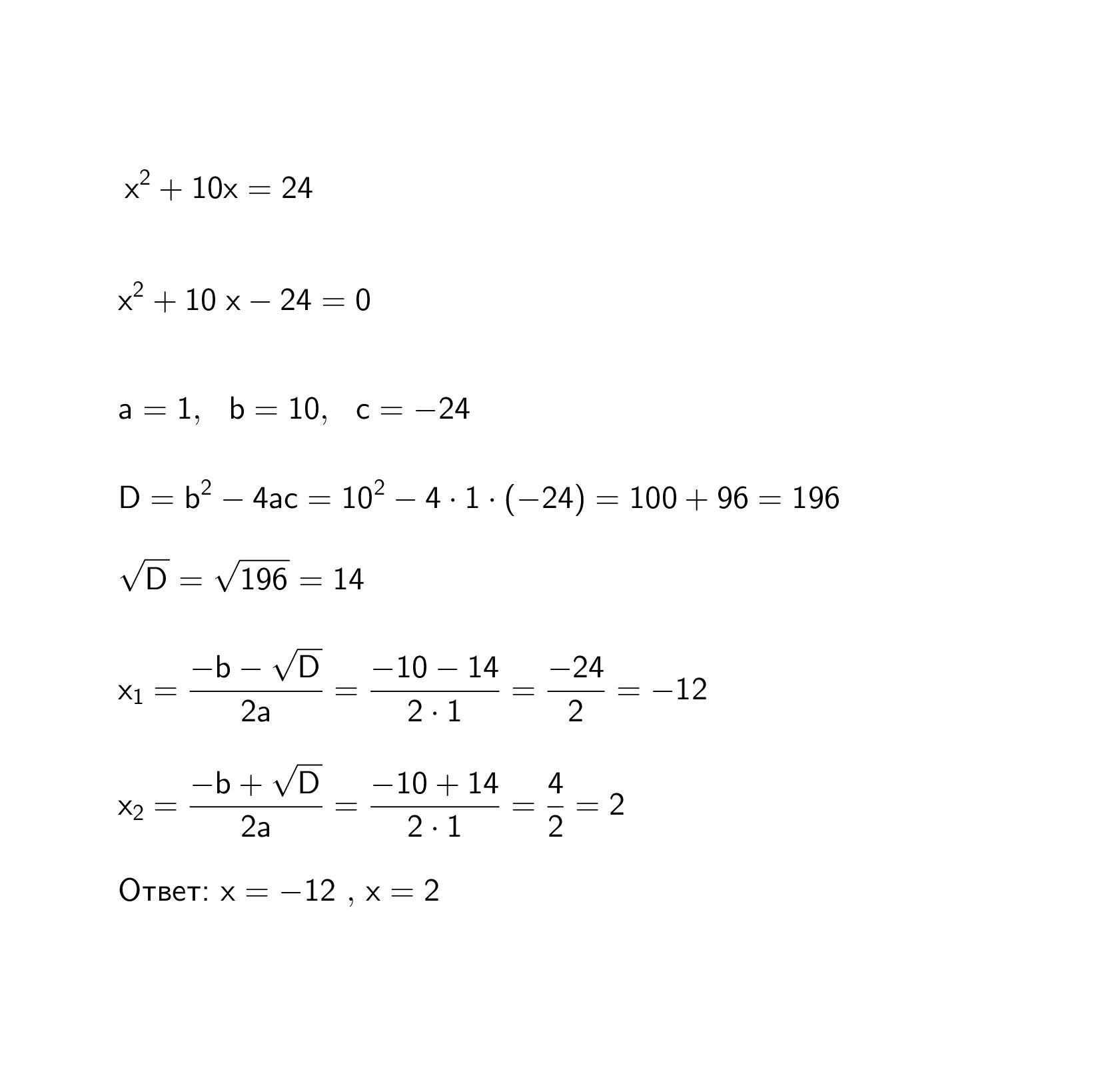
г) x² + 10x = 24

Ответы

Ответ дал: 7x8
0

Ответ в файле

………………………..

Приложения:
Вас заинтересует