• Предмет: Алгебра
  • Автор: mirag182
  • Вопрос задан 8 лет назад

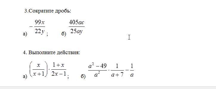
действия с рацианальными дробями

Приложения:

Ответы

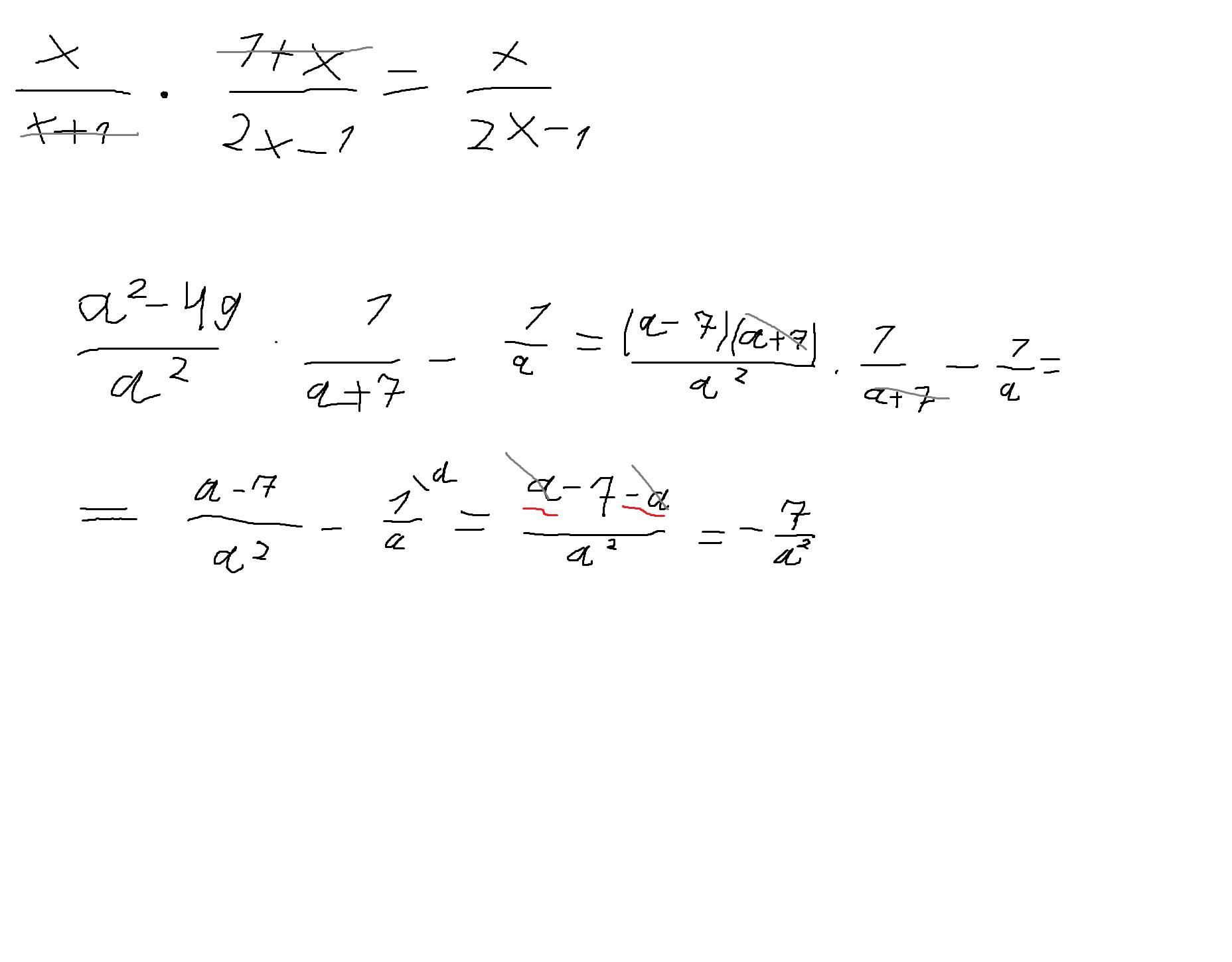
Ответ дал: fergiyoh
0

ответ на 4 задание на картинке

Приложения:
Вас заинтересует