помогите пожалуйста решить систему уравнений графически
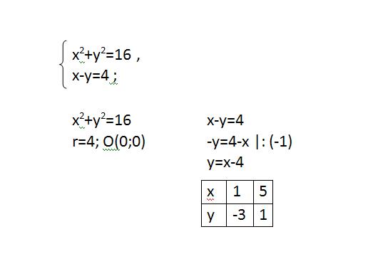
x^2+y^2=16,
x-y=4
Первoe уравнение это окружность, а как вторую чертить, я не понимаю
Ответы
Ответ дал:
0
Вот решение и график. Не забудь подписать названия графиков!
И, если что, ответ будет (если нужны точки пересечения) (0; -4) ; (4; 0).
И, если что, ответ будет (если нужны точки пересечения) (0; -4) ; (4; 0).
Приложения:
Вас заинтересует
3 года назад
8 лет назад
8 лет назад
11 лет назад
11 лет назад
11 лет назад