• Предмет: Алгебра
  • Автор: lyshaiza2406
  • Вопрос задан 8 лет назад

СРОООЧНОООО, ПОМОГИТЕ ПОЖАЛУЙСТА


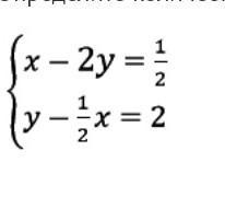
Определите количество решений системы графическим методом: 

Приложения:

Ответы

Ответ дал: Zombynella
0

Ответ:

x-2y=1/2

y-1/2x=2

Сначала нужно представить уравнения в более удобном для вычислений виде:

x-2y=1/2

-2y=1/2-x

y=(x-0,5)/2  первое уравнение

y-1/2x=2

y=2+0,5x    второе уравнение

Сейчас можно придавать значения х, получать значения у:

1)для графика первой функции     2)для графика второй функции

y=(x-0,5)/2:                                           y=2+0,5x

х= -3    у= -1,75                                      х= -3    у= 0,5

х= -2    у= -1,25                                      х= -2    у=  1

х= -1     у= -0,75                                     х= -1     у=  1,5

х= 1      у= 0,25                                       х= 1      у= 2,5

х= 2     у= 0,75                                       х= 2     у=  3

Построение графиков заданных линейных функций показывает, что данная система не имеет решений, так как графики не имеют точки пересечения, они параллельны.

Это же подтверждают таблицы значений х и у, при одних и тех же значениях х значения у одного графика отличаются от значений у второго графика на 2,25 единицы.

Вас заинтересует