Ответы
Ответ дал:
0
Ответ:
Объяснение:
............................
Приложения:

Ответ дал:
0
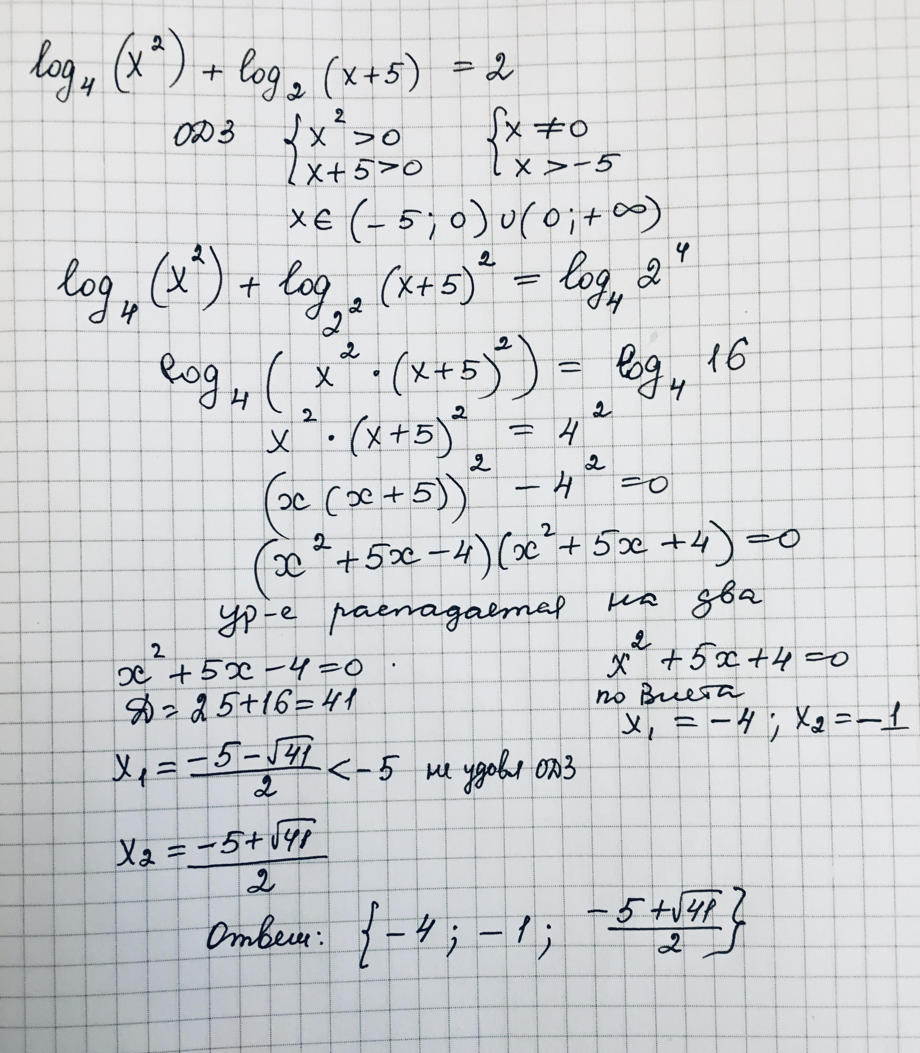
Ответ: во вложении Объяснение:
Приложения:

Вас заинтересует
3 года назад
3 года назад
8 лет назад
8 лет назад
9 лет назад