• Предмет: Алгебра
  • Автор: NormickMcCormick
  • Вопрос задан 8 лет назад

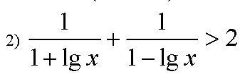
Логарифмическое неравенство 2

Приложения:

Ответы

Ответ дал: Miroslava227
0

Ответ:

решение на фотографии

Приложения:
Вас заинтересует