• Предмет: Математика
  • Автор: morozova83
  • Вопрос задан 8 лет назад

Решите пожалуйста, срочно !!!

Приложения:

Ответы

Ответ дал: Аноним
0

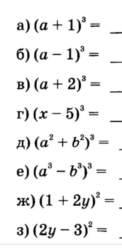
а) = а³+3а²+3а+1

б) = а³-3а²+3а-1

в) =а³+6а²+12а+8

г) = х³-15х²+75х-125

д)= а⁶+3а⁴b³+3а²b⁴+b⁶

е)  =а⁹-3а⁶b³+3а³b⁶+b⁹

ж) =1+4у+4у²

з) =4у²-12у+9

Вас заинтересует