Ответы
Ответ дал:
0
Ответ:
Объяснение:
.............................
Приложения:


Ответ дал:
0
Помогите пожалуйста мне по математике умоляю
Ответ дал:
0
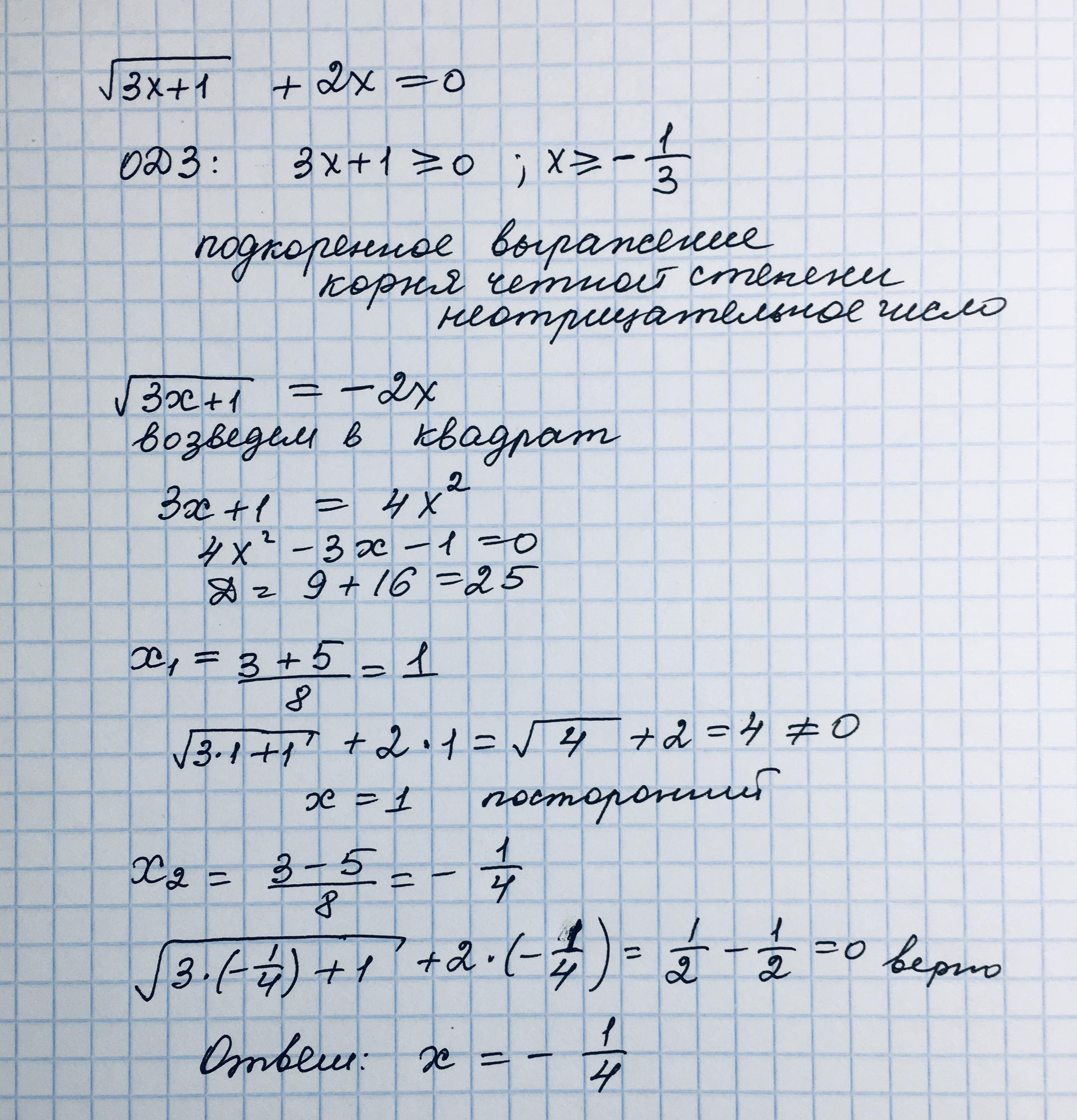
Ответ: во вложении Объяснение:
Приложения:

Вас заинтересует
2 года назад
3 года назад
8 лет назад