• Предмет: Математика
  • Автор: dimidrol53
  • Вопрос задан 8 лет назад

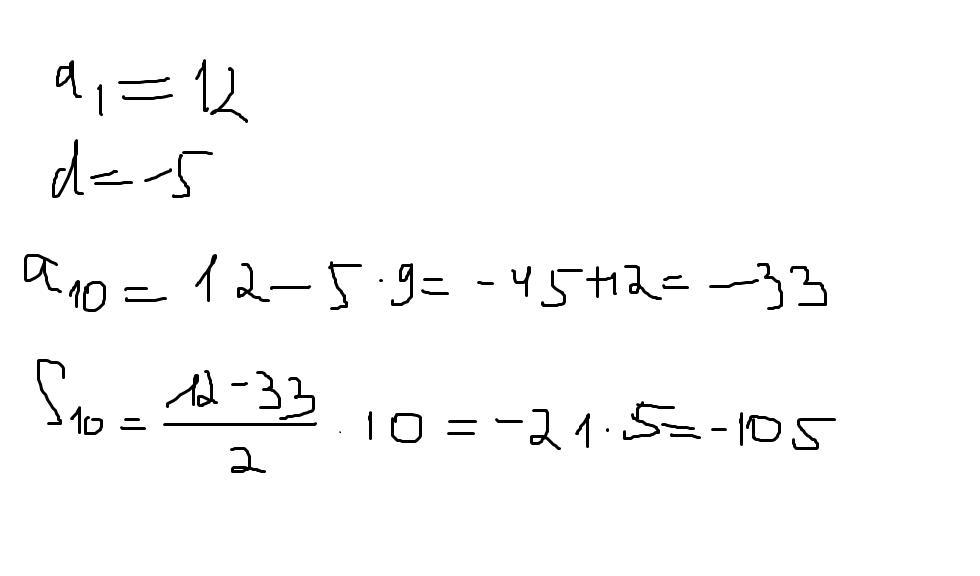
в арифметичній прогресії перший член дорівнює 12, a різниця -5. знайти а10 , s10

Ответы

Ответ дал: matematikL
0

Ответ:

Пошаговое объяснение:

вот и все

Приложения:
Вас заинтересует