• Предмет: Математика
  • Автор: blastudios86
  • Вопрос задан 8 лет назад

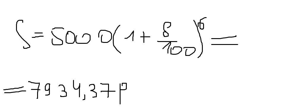
Вкладчик положил на счет 5000р на счет по которому сумма клада ежегодно возрастает н 8% сколько денег у нго будет через 6 лет

Ответы

Ответ дал: matematikL
0

Ответ:

Пошаговое объяснение:

вот и все

Приложения:
Вас заинтересует