• Предмет: Математика
  • Автор: mikusyana89
  • Вопрос задан 8 лет назад

ПОМАГИТЕ !!!!!!
срочно ответ нужен ​

Приложения:

Ответы

Ответ дал: tynaevmirlan0
0

Ответ:

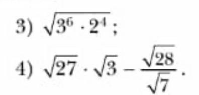
3) 108

4) 7

Пошаговое объяснение:

Здесь будет такой ответ, потому что .... (я так сказал)

Вас заинтересует