• Предмет: Математика
  • Автор: AkExe
  • Вопрос задан 8 лет назад

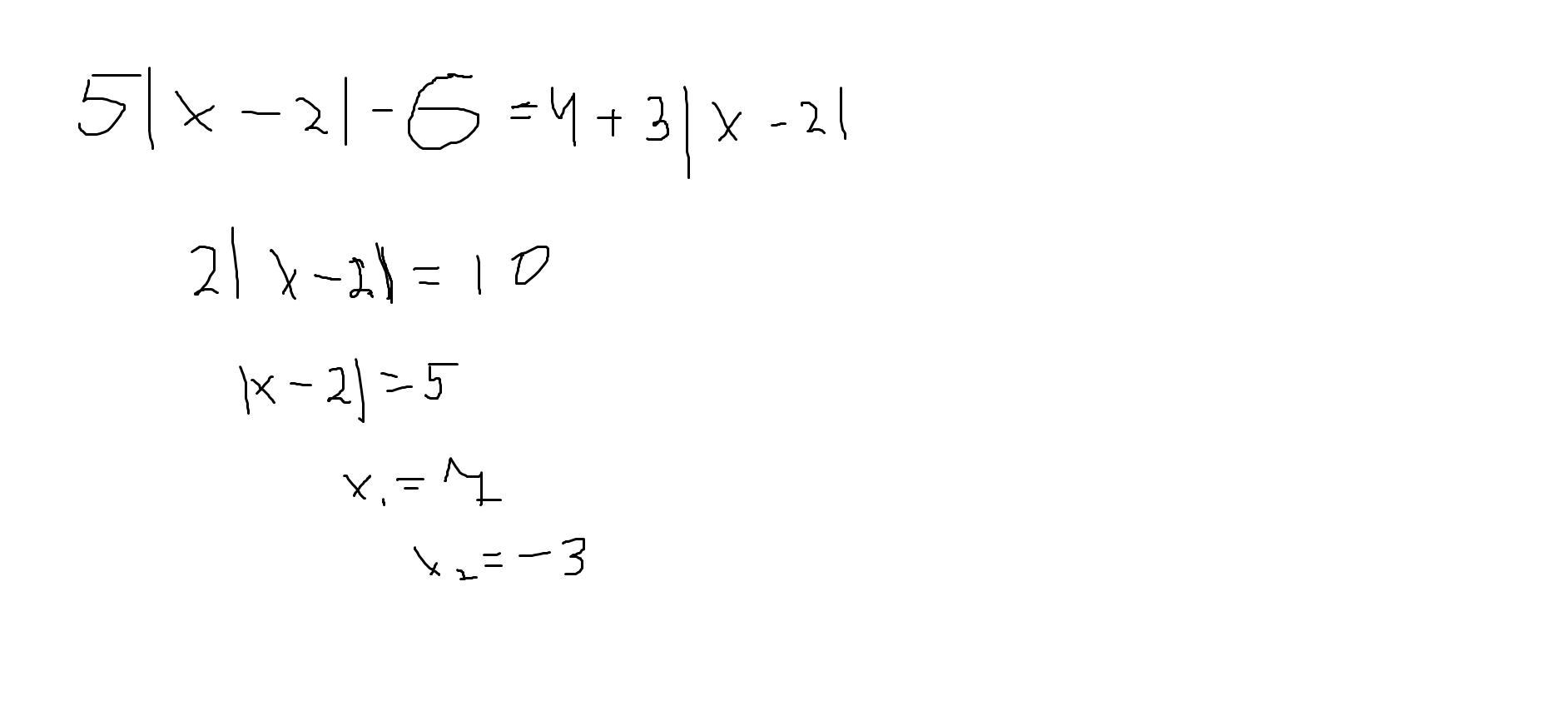
5|x - 2| - 6 = 4 + 3|x - 2|​

Приложения:

Ответы

Ответ дал: maksimvalkovsky
0

Ответ:

фото

Пошаговое объяснение:

Приложения:
Вас заинтересует