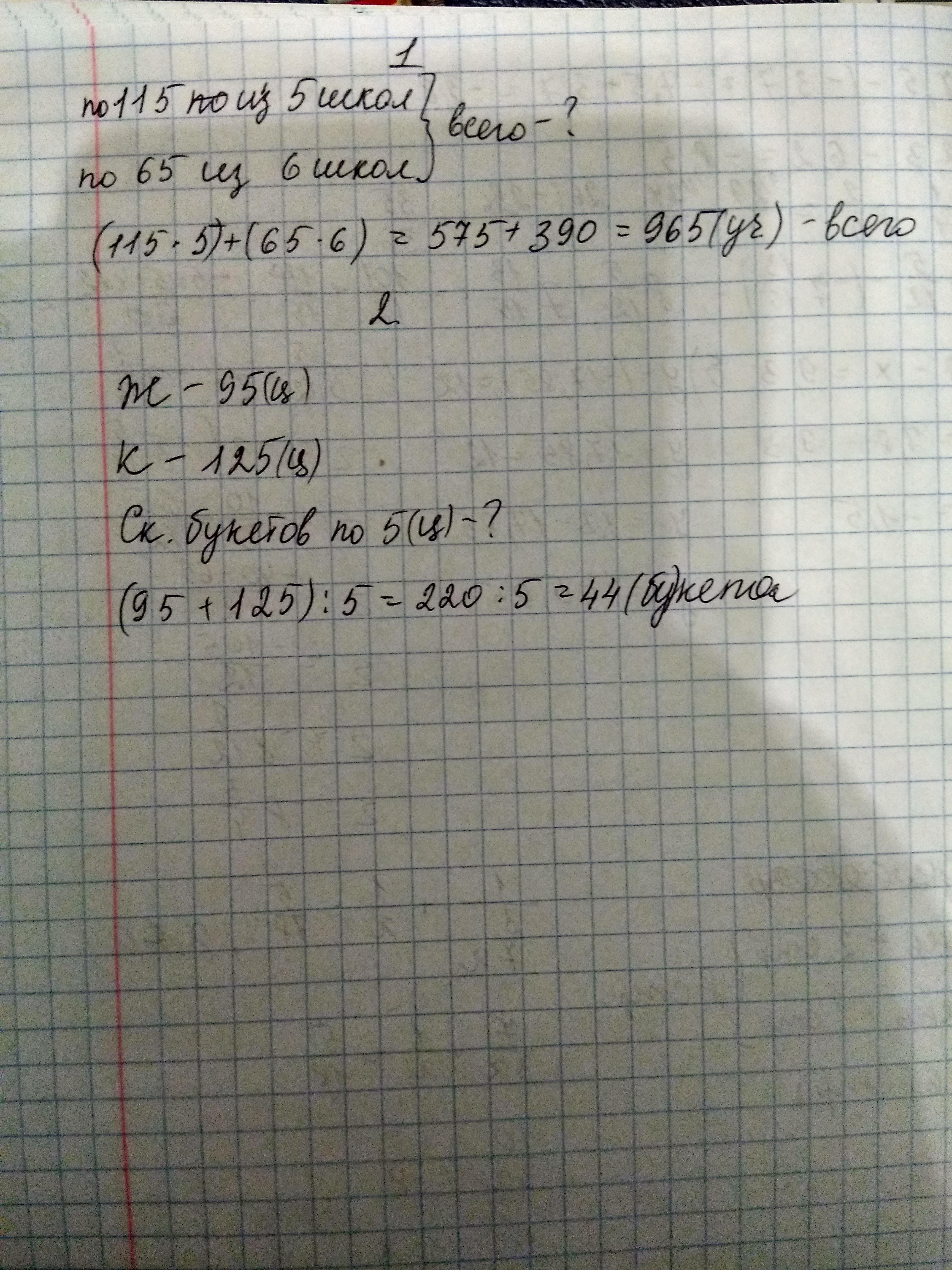
2. Реши задачу.
в интернет-викторине знатоков поэзии приняли участие
по 115 учеников из 5 городских школ и по 65 учеников из
6 сельских школ. Сколько всего учеников приняло участие
в викторине?
3. Реши задачу.
а) Для украшения зала к литературному вечеру купили 95 жёлтых роз и 125 красных. Из всех цветов составили букеты по
5 роз в каждом. Сколько букетов получилось?
ЖЕЛАТЕЛЬНО С УСЛОВИЯМИ
Ответы
Ответ дал:
0
Ответ:
Пошаговое объяснение:
Или по действиям
1.
1)115*5=575(уч)-с город.школ
2)65*6=390(уч)-с сельских школ
3)575+390=965(уч)-всего
2.
1)95+125=220(цв.)-всего купили
2)220:5=44букета получилось
Приложения:

Ответ дал:
0
спасибо!
Вас заинтересует
2 года назад
2 года назад
3 года назад
3 года назад
8 лет назад
8 лет назад
9 лет назад