Ответы
Ответ дал:
0
Ответ:
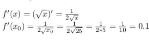
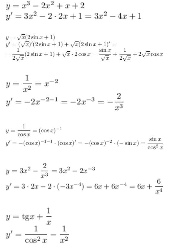
Вроде это..
Объяснение:
Приложения:


Ответ дал:
0
Не за что))
Вас заинтересует
3 года назад
3 года назад
8 лет назад
9 лет назад