• Предмет: Алгебра
  • Автор: Ltlf
  • Вопрос задан 8 лет назад

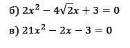
Помогите пожалуйста решить два уравнения:

Приложения:

Ответы

Ответ дал: DevilDexter
0

Ответ:

б)

2x^{2} -4sqrt{2} x+3=0\D= (4sqrt{2} )^{2} -4*2*3= 32-24=8\x_{1} = frac{4sqrt{2} +sqrt{8} }{4} =frac{6sqrt{2} }{4} = frac{3sqrt{2} }{2}\x_{2} =frac{4sqrt{2} -2sqrt{2}  }{4}= frac{sqrt{2} }{2} \

Ответ:

x_{1} = frac{3sqrt{2} }{2} \\x_{2} = frac{sqrt{2} }{2}

в)

21x^{2} -2x-3=0\D= 2^{2} -4*21*(-3)= 4+252= 256\\x_{1}= frac{2+16 }{42} = frac{18}{42} =frac{3}{7} \\x_{2} = frac{2-16}{42} =- frac{1}{3}

Ответ:

x_{1}= frac{3}{7}  \x_{2} = -frac{1}{3}

Вас заинтересует