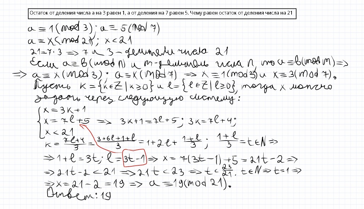
остаток от деления числа a на 3 равен 1, а от деления на 7 равен 5. Чему равен остаток от деления числа на 21
Ответы
Ответ дал:
0
Да здравствует модульная алгебра!
Приложения:
Ответ дал:
0
.... Все сходится
Может кому пригодится, несмотря на то, что вопрос четырехлетней давности
Может кому пригодится, несмотря на то, что вопрос четырехлетней давности
Приложения:
Вас заинтересует
3 года назад
8 лет назад
11 лет назад
11 лет назад
11 лет назад