• Предмет: Химия
  • Автор: hdhdhdjdjjdf
  • Вопрос задан 8 лет назад

Please help me pleaes

Приложения:

Ответы

Ответ дал: holmskaja
0

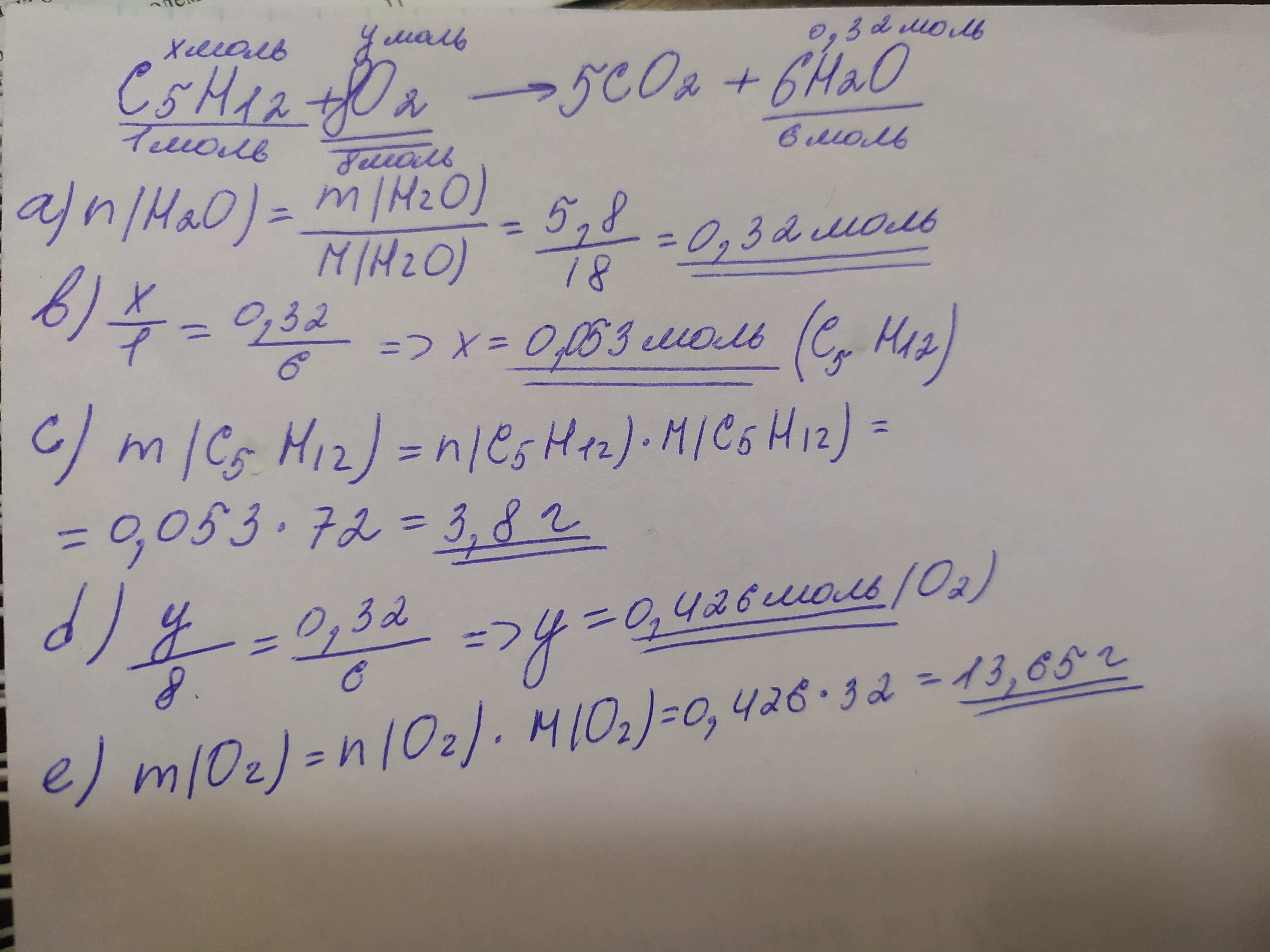
A) 0,32mol

B) 0,053 mol

C) 3,8 g

D) 0,426 mol

E) 13,65 g

Приложения:
Вас заинтересует