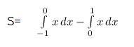
На рисунке изображен график функции . Укажите формулу для вычисления площади закрашенной фигуры.
Приложения:

Ответы
Ответ дал:
0
Формула на картинке.
Приложения:

Вас заинтересует
2 года назад
3 года назад
8 лет назад
8 лет назад
9 лет назад