• Предмет: Алгебра
  • Автор: PolinkaMandarinka000
  • Вопрос задан 8 лет назад

Помогите, пожалуйста, срочно!!!

Приложения:

Ответы

Ответ дал: sangers1959
0

Ответ:

Объяснение:

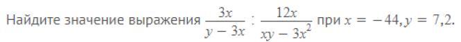
3x/(y-3y):(12x/(xy-3x²)3x/(y-3y):(12x/(x*(y-3x))=3x/(y-3y):12/(y-3x)=

=3x*(y-3x)/((y-3y)*12)=3x/12=x/4=-44/4=-11.

Вас заинтересует