Ответы
Ответ дал:
0
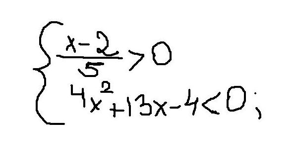
х-2>0
D=169-4*4*(-4)=169+64=233
x=(-13+-корень из 233)/8
х>2
нули ф-ции: корни второго неравенства.
потом отмечаешь все на координатной прямой,где пересекутся там и решение
D=169-4*4*(-4)=169+64=233
x=(-13+-корень из 233)/8
х>2
нули ф-ции: корни второго неравенства.
потом отмечаешь все на координатной прямой,где пересекутся там и решение
Вас заинтересует
3 года назад
8 лет назад
8 лет назад
11 лет назад
11 лет назад
11 лет назад