Ответы
Ответ дал:
0
Ответ:
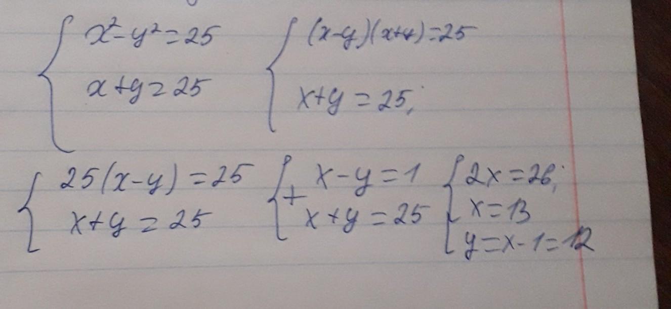
13 и 12
Объяснение:
Свойство систем уравнений
Приложения:

Вас заинтересует
2 года назад
3 года назад
3 года назад
8 лет назад
9 лет назад