• Предмет: Математика
  • Автор: DASTloveis9398
  • Вопрос задан 8 лет назад

Помогите срочно пожалуйста

Приложения:

Ответы

Ответ дал: QDominus
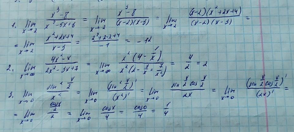
0

Решение приложено...

Приложения:
Ответ дал: DASTloveis9398
0
Сессия через пару месяцев, а я только сейчас взялась задания делать)
Вас заинтересует