Ответы
Ответ дал:
0
Объяснение:
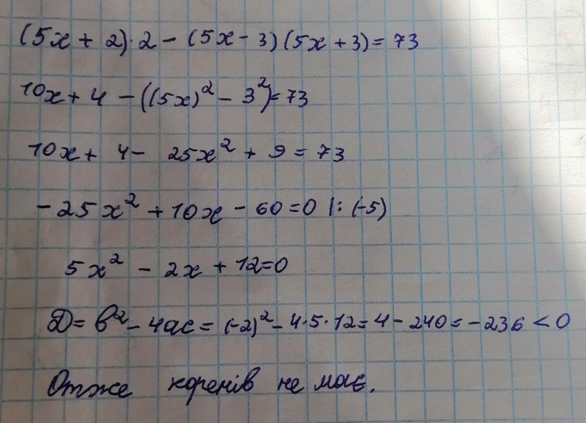
P. S. Коренів рівняння не має, тому що дискримінант від'ємний. А з від' ємних чисел корені знайти не можна.
Приложения:

Вас заинтересует
2 года назад
3 года назад
8 лет назад