Ответы
Ответ дал:
0
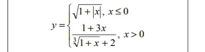
x = float(input())
if x <= 0:
y = pow((1 + abs(x)), 0.5)
else:
y = (1 + 3 * x)/ (pow((1 + x), 1/3) + 2)
print(y)
Вас заинтересует
2 года назад
3 года назад
3 года назад
9 лет назад
10 лет назад
10 лет назад