Ответы
это 2 задание
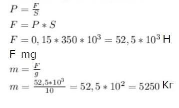
это 4 задание
Дано: L (длина стола) = 1,5 м; B (ширина стола) = 80 см (0,8 м); Р (атмосферное давление) = 760 мм рт. столба (h = 0,76 м).
Постоянные: ρ (плотность ртути) = 13600 кг/м3; g (ускорение свободного падения) = 9,81 м/с2.
Силу давления воздуха на крышку стола можно выразить из формулы: Р = F / S, откуда F = Р * S = ρ * g * h * L * B.
Выполним расчет: F = 13600 * 9,81 * 0,76 * 1,5 * 0,8 = 121675,392 Н (≈ 0,12 МПа).
Ответ: Сила давления воздуха равна 0,12 МПа.
Задание 5
Плотность тела m/V= 5/0.0002=25.000 тысяч
плотность керосина 840 кг на м³
так как 25.000 больше 840
это тело утонет в керосине
Задание 3
h(б)=12 см=0.12 м
плотность воды= 1000 кг на м³
плотность бензина 750 кг на м³
g постоянная 10м/с²
P=Po•g•h
P(в)=P(б)
h(в)=(Po(б)•g•h(б)/Po(в)•g
h(в)= 750•0.12/1000
h(в)=0.09
Задание 1
честно, смутное представление имею, если решу скину в комменты
А дошло
короче P=F/S
p=mg/S
р=50•10/0.175≈2857,1 Па или же 2.86 кПа
вроде так
