• Предмет: Математика
  • Автор: munskaya18
  • Вопрос задан 8 лет назад

Решите плз, 6 класс деление
Даю 20 баллов

Приложения:

Ответы

Ответ дал: KimLisa18
0

Пошаговое объяснение:

3) (-3 3/10 - 1 8/15) ÷ (-1 2/27) = -4 17/40÷(-1 2/27) = 4 139/1160 (4 целых сто тридцать девять тысяча сто шестидесятых)

4) (9/20 - 7/8) ÷ (-7/45 - 2/9) = 1 13/40 ÷ (-17/45) = -3 69/136 (3 целых шестьдесят девять сто тридцать шестых)

Ответ дал: munskaya18
0
Спасибо)
Ответ дал: petrowichtt228
0

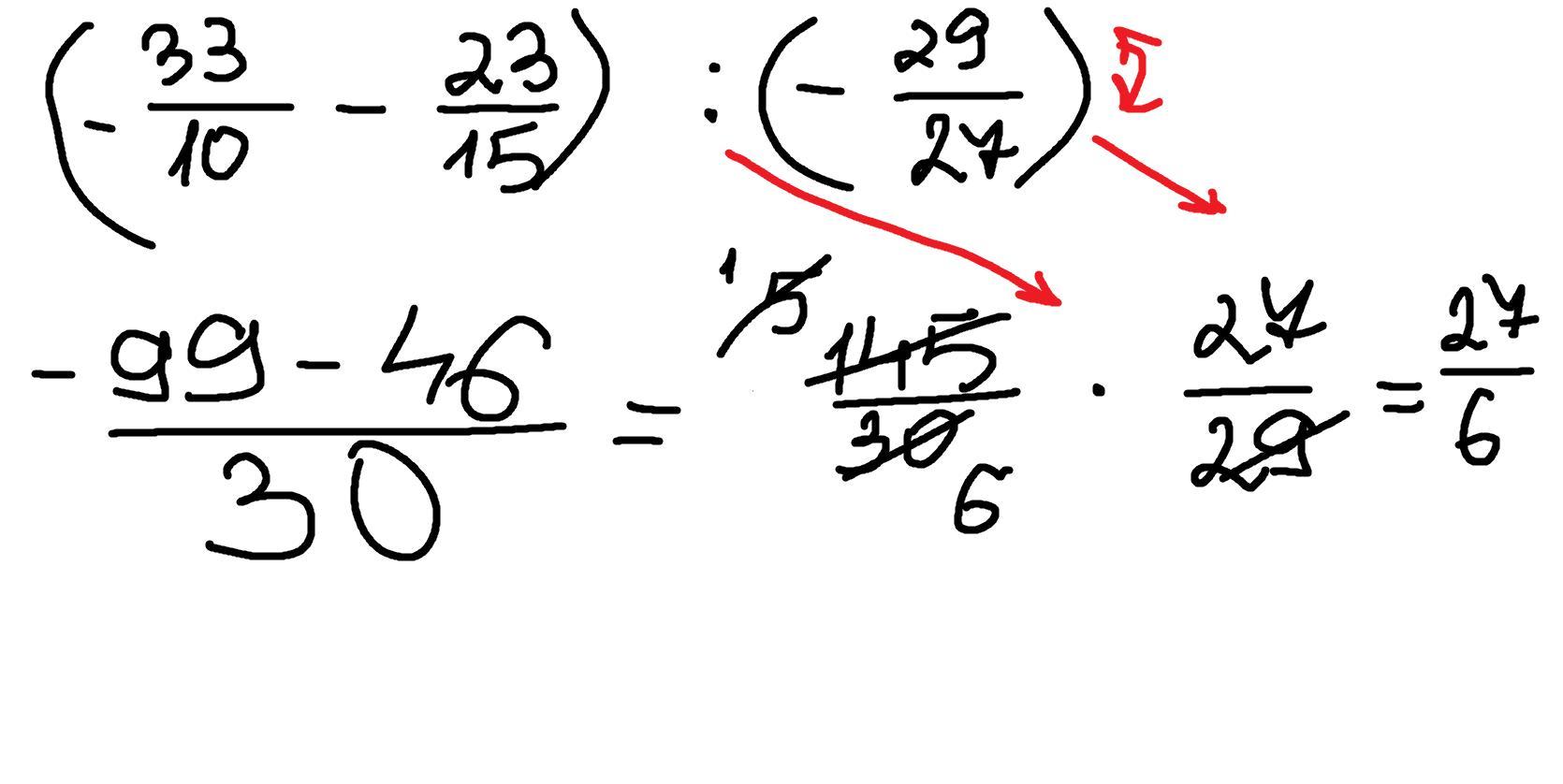
Ответ:

Пошаговое объяснение:

Приложения:
Вас заинтересует