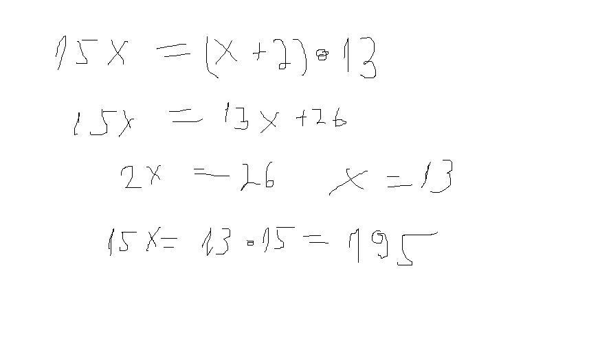
Замовлення на випуск тролейбусів завод повинен виконати за 15 днів. Але вже за 2 дні до завершення терміну завод не тільки виконав план, але й щодня випускав по 2 тролейбуси понад план. Скільки всього тролейбусів мав випустити завод за замовленням?
Ответы
Ответ дал:
0
Ответ:
Объяснение:
Відповідь: за замовленням завод повинен був випустити 195 тролейбусів
Приложения:

Вас заинтересует
2 года назад
2 года назад
3 года назад
3 года назад
8 лет назад
8 лет назад
9 лет назад