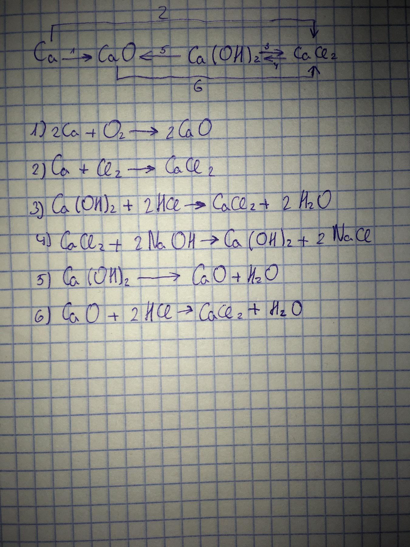
Задание в файле.Помогите, даю 100 баллов.Химия 8 класс!!!!!! Тема химические свойства неорганических веществ.!!!!!!!!!
Приложения:

Ответы
Ответ дал:
0
А вообще можно каждую реакцию вводить и выдаётся ответ в браузере
Приложения:

Ответ дал:
0
----------------------------
Приложения:

Вас заинтересует
2 года назад
3 года назад
3 года назад
8 лет назад
9 лет назад