Ответы
Ответ дал:
0
Решение во вложении.
Приложения:

Ответ дал:
0
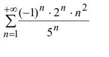
Так как 2/5 < 1, то по признаку Даламбера ряд из модулей СХОДИТСЯ, а сам ряд сходится абсолютно. (и признак Лейбница не нужен).
Вас заинтересует
2 года назад
2 года назад
3 года назад
8 лет назад
9 лет назад