ребята помгите пожалуйста
1. В шаре, радиус которого равен 9см, просверлено цилиндрическое отверстие вдоль его диаметра. Вычислить объём оставшейся части шара, если радиус отверстия равен 5,4см. Значение числа π в вычислениях округлить до 3.
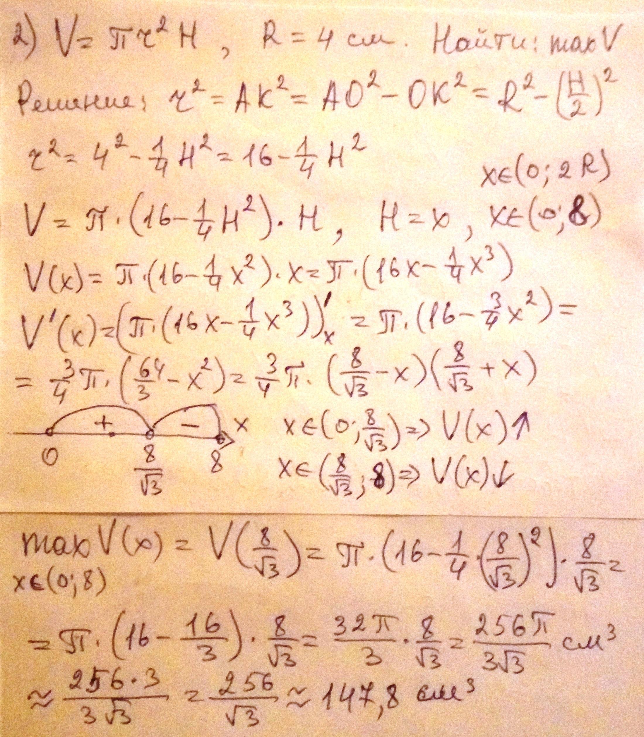
2. Вычислить радиус основания r и высоту h цилиндра наибольшего объёма, который можно вписать в шар радиусом 4 см.
r=
h=
Ответы
Ответ дал:
0
Ответ:
1) V≈1492,992 см³
2) h=8/√3 см, r=32π/3 см, V≈147,8 см³
Объяснение:
На рисунке показано сечение шара плоскостью, проходящей через ось цилиндра
Приложения:


Ответ дал:
0
Никак не могу понять "V(остав)=( V(шара)- V(цилин) -2V( сеч)"..............2V( сеч)-это где на чертеже?
Ответ дал:
0
V( сеч) это не V цилиндра?
Вас заинтересует
2 года назад
3 года назад
8 лет назад
8 лет назад
9 лет назад