• Предмет: Математика
  • Автор: Аноним
  • Вопрос задан 8 лет назад

ПОЖАЛУЙСТА УМОЛЯЮ ПОМОГИТЕ​

Приложения:

Ответы

Ответ дал: somemanU
0

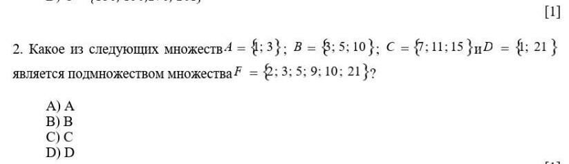
Ответ:

B) B={3,5,10}

Опять 20 символов надо писать...

Вас заинтересует