Ответы
Ответ дал:
0
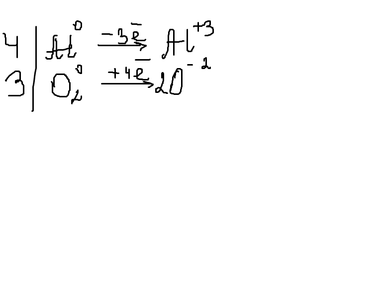
2Al+3O2=2Al2O3
al2o3+3h2so4=al2(so4)3+3h2o
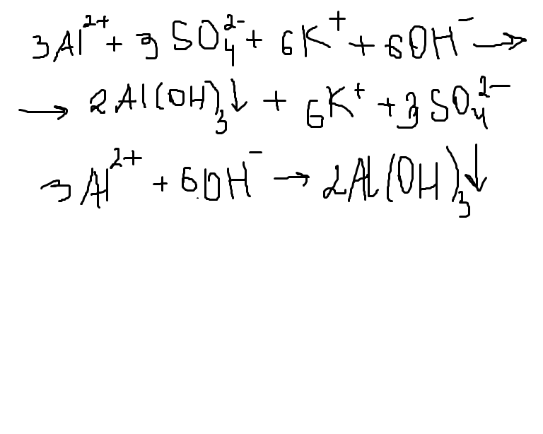
al2(so4)3+6koh=2al(oh)3( в осадок)+3k2so4
2al(oh)3=al2o3+3h2o
al2o3+3h2so4=al2(so4)3+3h2o
al2(so4)3+6koh=2al(oh)3( в осадок)+3k2so4
2al(oh)3=al2o3+3h2o
Приложения:


Вас заинтересует
2 года назад
2 года назад
8 лет назад
10 лет назад
10 лет назад