• Предмет: Алгебра
  • Автор: Daann4ik
  • Вопрос задан 8 лет назад

Даю баллов. Хочу понять как это решать. решите пж.

Приложения:

Ответы

Ответ дал: Simba2017
0

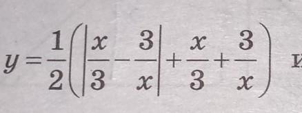
раскроем модуль

а) x/3-3/x>0

(x^2-9)/(3x)>0

(x+3)(x-3)/(3x)>0

-----(-3)++++(0)------(3)+++++

y=0.5(x/3-3/x+x/3+3/x)=0.5*2x/3=x/3 -прямая строится

на интервале x=(-3;0)U(3;+∞)

б)x/3-3/x<0

y=0.5(3/x-x/3+x/3+3/x)=0.5*6/x=3/x -гипербола на x=(-∞;-3)U(0;3)

Приложения:
Ответ дал: Daann4ik
0
разве когда мы раскрываем модуль когда х больше 0 у нас числа отрицательные остаются?
Вас заинтересует