Упростите выражение и найдите его значение при y = 2,5. В ответе запишите
найденное значение.
Само выражение:
Приложения:

Ответы
Ответ дал:
0
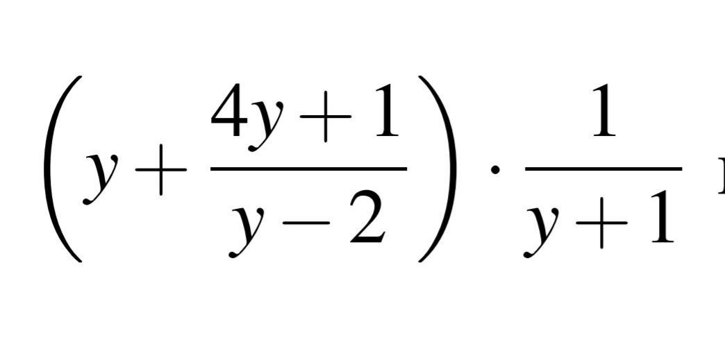
((y+(4y+1)/(y-2)) * 1/(y+1) y=2,5
Сначала в скобках:
((y+(4y+1)/(y-2))= общий знаменатель (y-2):
=((y(y-2)+(4y+1)/(y-2)=
=(y²-2y+4y+1)/(y-2)=
=(y²+2y+1)/(y-2)=
=(y+1)²/(y-2)
Теперь умножение:
((y+1)²/(y-2)) * 1/(y+1)=
=((y+1)² * 1)/(y-2)(y+1)=
числитель и знаменатель сокращаем на (у+1):
=(у+1)/(y-2)= (2,5+1)/2,5-2)=3,5/0,5=7
Вас заинтересует
2 года назад
3 года назад
3 года назад
8 лет назад
9 лет назад