Две семьи отправились на детский утренник. Первая семья купила два детских билета и один взрослый и всего заплатила 450 рублей. Вторая семья купила три детских билета и два взрослых и всего заплатила 770 рублей. Сколько стоит один детский билет и сколько стоит один взрослый билет?
Ответы
Ответ дал:
0
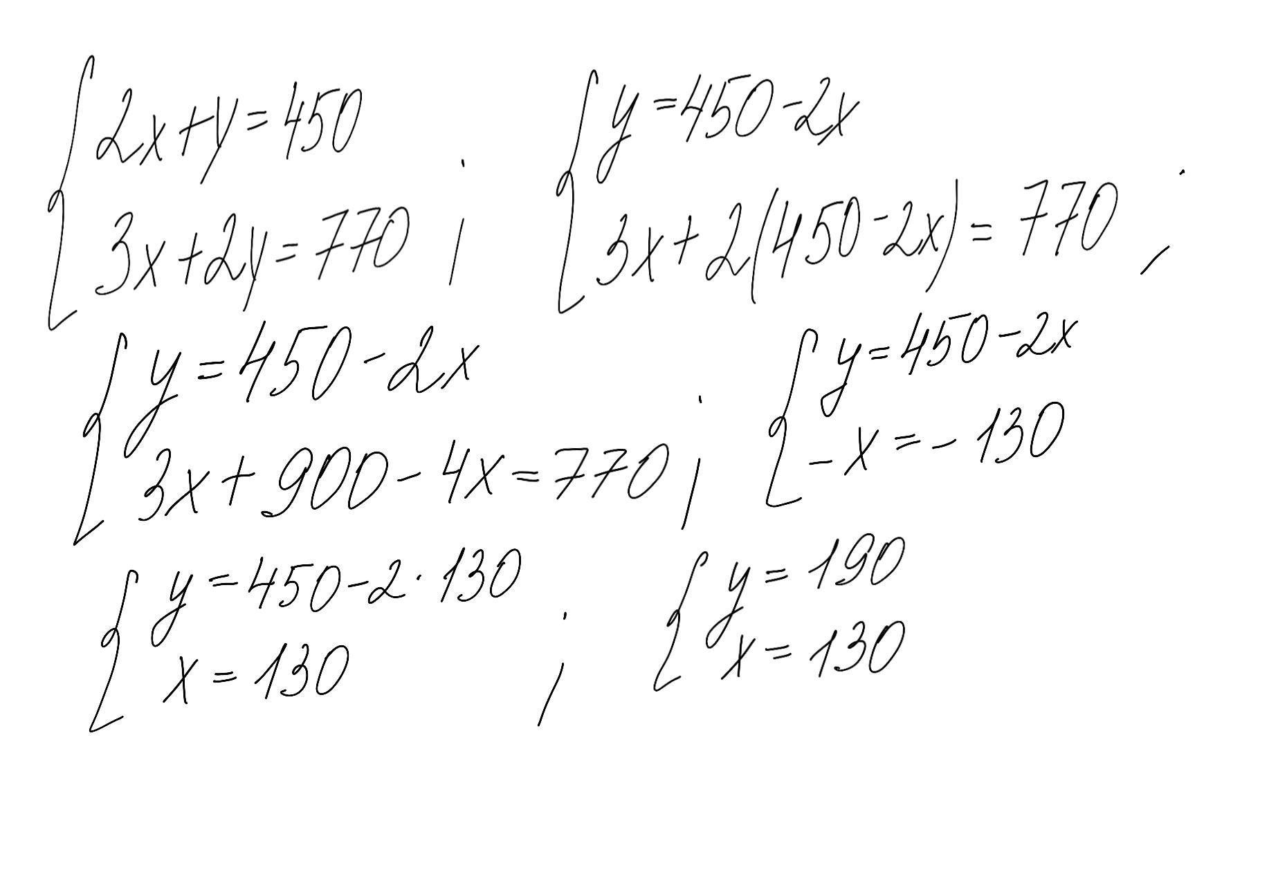
Пусть x рублей стоит детский билет, а y рублей стоит взрослый билет, тогда первая семья купила билеты по цене 2x+y, а вторая семья купила по цене 3x+2y. Зная, что общий счёт первой семьи составил 450 рублей, а общий счёт второй семьи - 770 рублей, составим систему уравнений и решим её (решение на фото):
Ответ: 130 рублей стоит детский билет и 190 рублей стоит взрослый билет
Приложения:

Ответ дал:
0
Первая семья: 2x+y=450
Вторая семья: 3x+2y=770
x=225-(y/2)
3(225-y/2)+2y= 770
675-3y/2+4y/2=770
675+y/2=770
y/2=95
y= 190(один взрослый билет)
x= 225 - 190/2= 130 (один детский билет)
Приложения:

Вас заинтересует
2 года назад
3 года назад
3 года назад
8 лет назад
9 лет назад