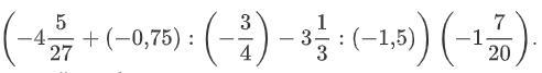
Решите данный пример, желательно прошу вас, быстро, можно не по действиям, только, чтобы ответ был верным.
Приложения:

Ответы
Ответ дал:
0
!!!!!!!!!!!!!!!!!!!!!!!
Приложения:

Ответ дал:
0
Решение данного примера прикреплено к этому ответу:
Приложения:

Вас заинтересует
2 года назад
2 года назад
3 года назад
3 года назад
8 лет назад
8 лет назад
9 лет назад