• Предмет: Алгебра
  • Автор: balalaikalondon
  • Вопрос задан 8 лет назад

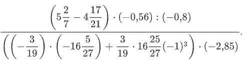
Не могли бы вы мне помочь с этим примером, можете решать не по действиям, просто написать ответ, главное, чтобы он был правильным! Потом придется проверять.

Приложения:

Ответы

Ответ дал: Аноним
0

Ответ: во вложении Объяснение:

Приложения:
Вас заинтересует