Ответы
Ответ дал:
0
Смотри в приложении:
Приложения:

Ответ дал:
0
Ответ:
Объяснение:
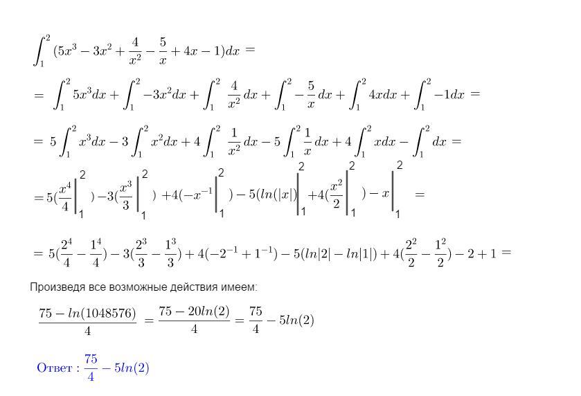
* * * ∫xⁿdx =xⁿ⁺¹ / (n+1) , при n≠-1 ; при n= -1 : ∫x⁻¹ dx = ∫(1 /x)dx =ln|x| * * *
F(x) = ∫(5x³ -3x² +4/x²-5/x +4x -1) dx =
∫5x³dx - ∫3x²dx +∫(4/x²) dx- ∫(5/x)dx +∫4xdx -∫dx =
5x⁴/4 - x³ - 4/x - 5ln|x| +2x² - x + C
Определенный интеграл по формуле ньютона-лейбница :
F(b) -F(a) = (5/4)*(2⁴ -1⁴) -(2³ -1³) - 4(1/2 -1/1) -5(ln2 -ln1)+2*(2² -1²) -(2-1) =
75/4 -7 +2 - 5ln2+6 -1 = 75/4 -5ln2 . иначе 5(3,75 -ln2).
Приложения:

Вас заинтересует
2 года назад
3 года назад
3 года назад
8 лет назад
8 лет назад
9 лет назад
9 лет назад