• Предмет: Математика
  • Автор: zloyj
  • Вопрос задан 8 лет назад

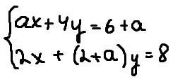
Найти значения параметра а, при которых система уравнений имеет множество решений

Приложения:

Ответы

Ответ дал: dnepr1
0

Система уравнений имеет множество решений при пропорциональности коэффициентов уравнений.

В данном примере при а = 2 они вообще даже равны.

То есть, имеем практически одно уравнение с двумя неизвестными, при этом система имеет множество решений.

Ответ: а = 2.

Вас заинтересует