ПОМОГИТЕ!!!! Помогите составить электронный баланс
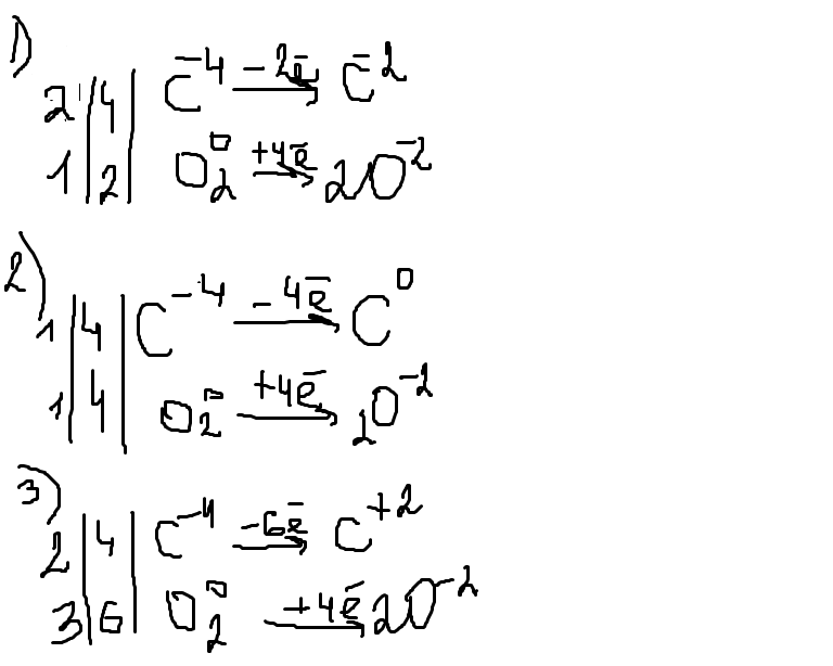
1)СH4+O2=CH3OH
2)CH4+O2=альдегид
3)СH4+O2=кислота
4)СH4+O2= уксусная кислота.
Ответы
Ответ дал:
0
2Ch4+O2=2Ch3OH
Ch4+O2=HCOH+H2O
2Ch4+3O2=2HCOOH+3H2O
последняя реакция неправильная,т.к. такого не может быть. уксусную к-ту можно получить из бутана. 2С4H10+5O2=4Ch3COOH+2H2O
Ch4+O2=HCOH+H2O
2Ch4+3O2=2HCOOH+3H2O
последняя реакция неправильная,т.к. такого не может быть. уксусную к-ту можно получить из бутана. 2С4H10+5O2=4Ch3COOH+2H2O
Приложения:
Вас заинтересует
3 года назад
3 года назад
8 лет назад
8 лет назад
11 лет назад
11 лет назад