• Предмет: Математика
  • Автор: sosnovskii02p6rdlm
  • Вопрос задан 8 лет назад

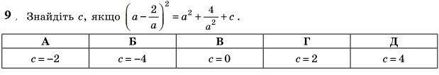
(a - 2/a)^2 = a^2 + 4/a^2 + c

Приложения:

Ответы

Ответ дал: guvanch021272
0

Ответ:

с=-4

Пошаговое объяснение:

(a - 2/a)² =a² + 4/a² - 2·a ·2/a= a² + 4/a² - 4

Вас заинтересует