• Предмет: Алгебра
  • Автор: wqeqqweq21321we
  • Вопрос задан 8 лет назад

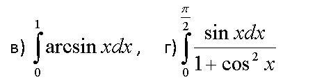
Помогите решить Вычислить интеграллы

Приложения:

Ответы

Ответ дал: Naosk
0

Ответ:

  • в)(π/2)-1
  • г)π/4

Объяснение:

Вас заинтересует