• Предмет: Алгебра
  • Автор: barbaragabova
  • Вопрос задан 8 лет назад

Разложите на множители:
а)a^3-a^2b^2-ab+b^3

Ответы

Ответ дал: dilfuzashamileva
0

Ответ:

ответ во вложении........

Приложения:
Ответ дал: annafox444
0

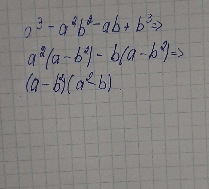
Ответ:

(a-b²)*(a²-b)

Объяснение:

a³-a²b²-ab+b³

a²*(a-b²)-ab+b³

a²*(a-b²)-b*(a-b²)

(a-b²)*(a²-b)

Приложения:
Вас заинтересует