• Предмет: Алгебра
  • Автор: dega7981
  • Вопрос задан 8 лет назад

Помогите с Алгеброй найти сумму корней уравнения

Приложения:

Ответы

Ответ дал: nikebod313
0

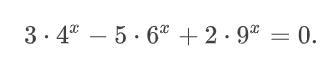
1)  3 cdot 4^{x} - 5 cdot 6^{x} + 2 cdot 9^{x} = 0

3 cdot 2^{2x} - 5 cdot (2 cdot 3)^{x} + 2 cdot 3^{2x} = 0

3 cdot 2^{2x} - 5 cdot 2^{x} cdot 3^{x} + 2 cdot 3^{2x} = 0    | : 3^{2x}

3 cdot dfrac{2^{2x}}{3^{2x}} - 5 cdot dfrac{2^{x} cdot 3^{x}}{3^{2x}}  + 2 cdot dfrac{3^{2x}}{3^{2x}} = 0

3 cdot left(dfrac{2}{3}right)^{2x} - 5 cdot left(dfrac{2}{3} right)^{x} + 2 = 0

Замена: left(dfrac{2}{3} right)^{x} = t,  t > 0

3t^{2} - 5t + 2 =0\D = (-5)^{2} - 4 cdot 3 cdot 2 = 25 - 24 = 1

t_{1} =dfrac{5 + 1}{6} = 1

t_{2} =dfrac{5 - 1}{6} = dfrac{4}{6} = dfrac{2}{3}

Обратная замена:

1.1)  left(dfrac{2}{3} right)^{x} = 1\left(dfrac{2}{3} right)^{x} = left(dfrac{2}{3} right)^{0}\x = 0

1.2)  left(dfrac{2}{3} right)^{x} = dfrac{2}{3}\x = 1

Сумма корней: 0 + 1 = 1

Ответ: 1.

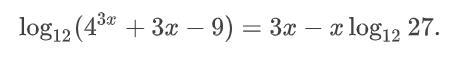
2)  log_{12}(4^{3x} + 3x - 9) = 3x - xlog_{12}27

log_{12}(4^{3x} + 3x - 9) = 3x - xlog_{12}3^{3}

log_{12}(4^{3x} + 3x - 9) = 3x - 3xlog_{12}3

log_{12}(4^{3x} + 3x - 9) = 3x( 1 - log_{12}3)

log_{12}(4^{3x} + 3x - 9) = 3x(log_{12}12 - log_{12}3)

log_{12}(4^{3x} + 3x - 9) = 3xlog_{12}4

log_{12}(4^{3x} + 3x - 9) = log_{12}4^{3x}

4^{3x} + 3x - 9 = 4^{3x}

3x = 9

x = 3

Ответ: 3 ◀

Вас заинтересует