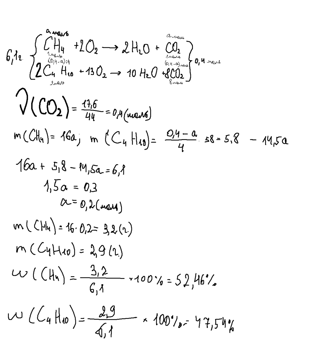
при сгорании смеси метана и бутана массой 6.1 грамм образовался диоксид углерода массой 17,6 грамм. определите массовые доли углеводорода % в смеси
Ответы
Ответ дал:
0
Если что-то непонятно, то обязательно пиши. :) (Немного поясню все-таки. Мы сосчитали общее кол-во вещества образовавшегося углекислого газа. Подставили в фигурную скобку значение 0,4 моль. Пусть a моль CO2 вошло в первое уравнение, тогда во второе войдет:
(0,4-a)моль (из всего кол-ва вещества вычитаем сколько вошло в первую реакцию). Далее по уравнению расставляем моли веществ. Составляем уравнение по смеси исходных газов и находим нашу переменную "a". Дальше подставляем и уже легко. :)
(0,4-a)моль (из всего кол-ва вещества вычитаем сколько вошло в первую реакцию). Далее по уравнению расставляем моли веществ. Составляем уравнение по смеси исходных газов и находим нашу переменную "a". Дальше подставляем и уже легко. :)
Приложения:

Вас заинтересует
2 года назад
2 года назад
8 лет назад
10 лет назад
10 лет назад
10 лет назад